A convenient hub for evaluating drug efficacy and synergy
Meritudio’s Pharmacology module leverages cutting-edge methodologies from both established and recent scientific publications to calculate in vitro and in vivo efficacy and synergy. With powerful analytical capabilities and interactive visualizations, it allows researchers to intuitively interpret results and systematically assess the effectiveness and interactions of pharmacological agents. Designed for ease of use, it features well-optimized default settings alongside flexible customization options, enabling users to generate comprehensive, publication-ready reports with a single click. No statistical expertise is needed, allowing researchers to focus on their core scientific pursuits and accelerate innovation.



Fully automated statistical workflow with guaranteed correctness
Supports both parametric and non-parametric tests
Provides Comprehensive and Concise views on results and interpretation
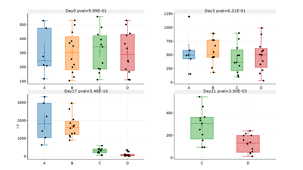
Advanced analytics including survival analysis and linear mixed models
Supports matrix design, fixed ratio design, and single or multi-dose combinations
Evaluates with Bliss, Loewe, and MuSyC models with enhanced implementation
Detects synergy, additivity, or antagonism
Shows results with heatmap and surface plot
First method able to validate in vitro synergy in animal studies
Implements Bliss and HSA models for two and more drug combinations
Calculates combination index and synergy score with statistical assessment
Detects true synergy with high statistical power and low false positive rate